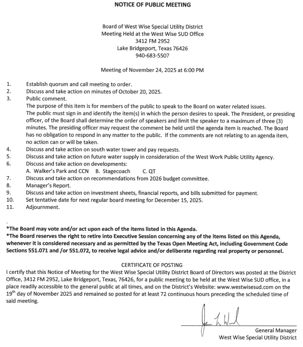
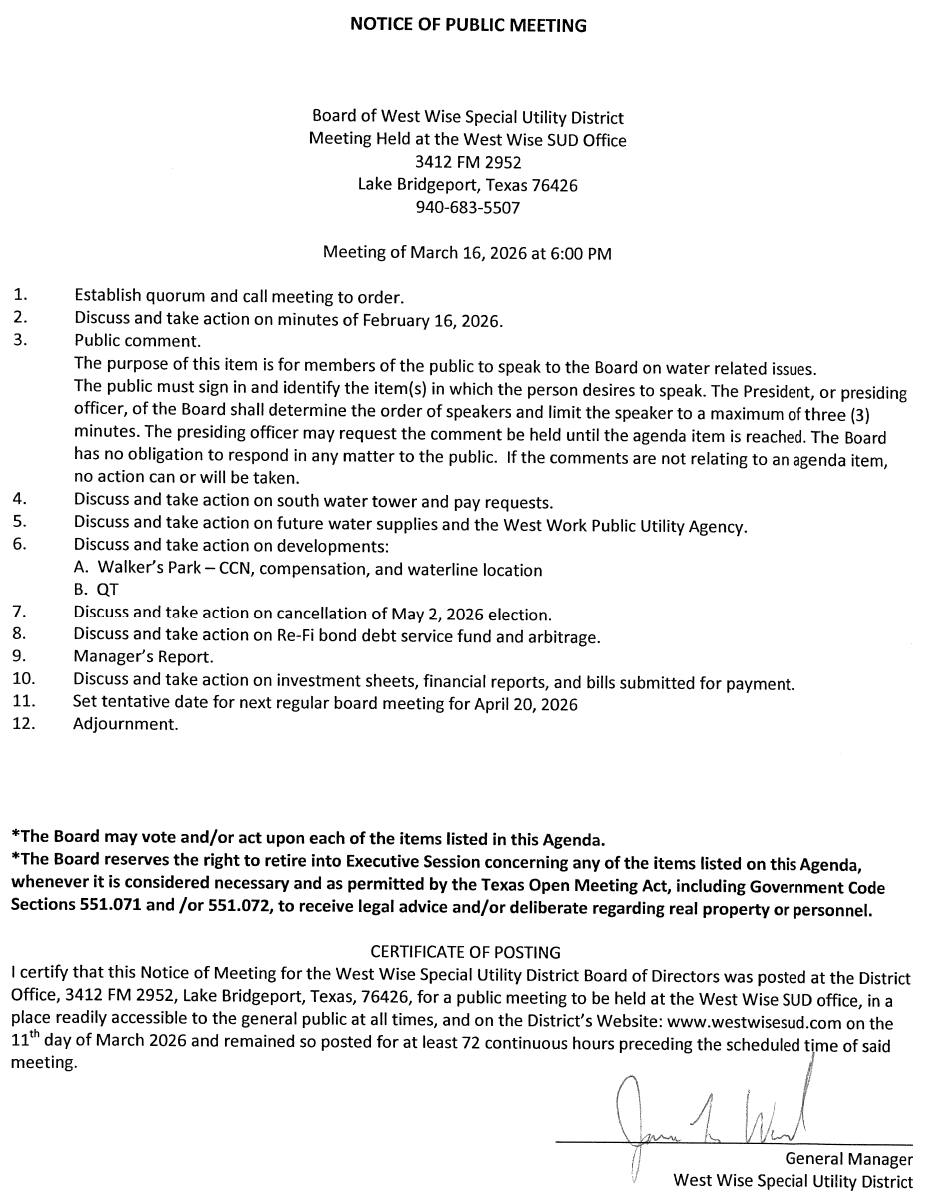
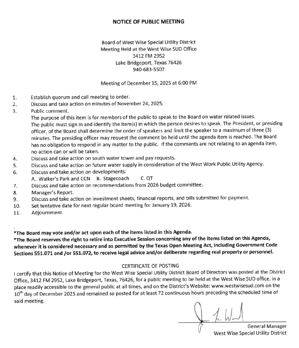
The Board of Directors meet at 6:00 PM on the third Monday of each month. Meetings are held at the District office, 3412 FM 2952 Bridgeport, Texas, unless otherwise noted on current month Agenda.
If you would like to place an item on the Agenda for the consideration of the Board of Directors, please contact the office with your request, no later than 12:00 PM, by the Monday prior to the Board meeting.
Board Meeting Agenda 5/18/26

